My Contribution
1.
Developed an automation package to model a power system based on a set of parameters.
2.
Applied consensus-based alternating direction method of multipliers (ADMM) for distributed state estimation.
3.
Designed distributed moving horizon estimation (D-MHE) for power system state estimation (PSSE).
•
Guarantee robustness in state estimation by dealing with constraints within the objective function
•
Validated the robustness of state estimation to virtual data attack scenarios.
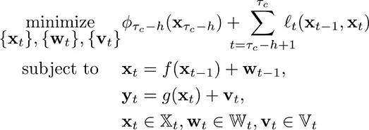
MHE Problem formulation for PSSE
1.
MHE concept diagram
2.
Problem Formulation
In Details
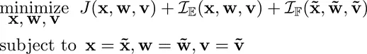
D-MHE for real-time state estimation
Assume that each local estimator can exchange information with its neighbors.
1.
Consensus form of optimization
•
are the indicator functions corresponding to the equality and inequality constraints.
2.
Operator splitting algorithm for consensus-based optimization problem (3 steps)
a.
Solving an equality-constrained NLP
b.
Computing a set of separable projections
c.
Updating the scaled dual variables
Numerical Case Study - IEEE 118-bus test case
1.
Convert each transmission line into a partial 3-line physical mode to build a distributed power system
2.
Seperate measurements to enable distributed state estimation for each local estimator
3.
Simulation Results (D-MHE vs D-EKF)
•
Validated the robustness of state estimation to virtual data attack scenarios.
◦
Nonlinear measurement function
◦
Linear measurement function








