My Contribution
1.
Derived the recursive formula of Bellman equation for convex economic dispatch (ED) problem
2.
Designed discrete dynamic programming (DP) for non-convex ED and dynamic ED (DED) problem
•
Implement scalable and decentralized algorithms to consider anytime plug-in & plug-out power generation
3.
Validated discrete DP effectiveness through numerical case studies on a non-convex ED and large scale power system with 53 generation units
Flowchart for the Backward Induction of Discrete DP for ED
Schematic diagram of using pre-computed value table for DED
In Details
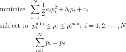
ED concept
•
Optimization problem in which the objective is to minimize the total power generation cost under physical limitations of distributed generators and demand–supply balance
•
Conventional ED problem formulation
Two-generator problem for ED with a generation-capacity limit
•
The value functions are piecewise quadratic in the state of power demand
Discrete DP for non-convex ED
1.
Scheme of backward induction process
2.
Case Studies
•
Correlation between grid size and computation time for value function
•
Compare value tables based on transmission loss between generators
Discrete DP for DED
•
Time-varying power generation profile with discrete DP in a DED problem with ramp constraints










